
熊大兴,教授;博、硕士生导师,闽江理论物理协作中心执行主任;主要从事统计物理学与复杂系统交叉领域研究工作,在探索低维体系非平衡热输运规律及机制方面取得了一定的成绩,揭示了受呼吸子影响的非普适热传导规律、提出了声子行走理论、数值发展了非线性涨落流体力学框架。基于这些工作,累计在统计物理领域主要学术期刊Physical Review E 等上发表30余篇论文,2018年入选福建省特支双百计划青年拔尖人才,2017年获得福建省杰出青年基金资助。
Email: xmuxdx@163.com;
招生研究生信息:曾在福州大学指导博士生1名(已毕业),硕士生1名(已毕业)。目前担任中国科公司大学兼职硕导,详见https://people.ucas.edu.cn/~daxingxiong
一、教育、工作经历
1997.09-2001.06 福建省将乐县第一中学 高中;
2001.09-2005.07 厦门大学物理与机电工程公司 物理系 物理学 本科;
2005.09-2010.09 厦门大学物理与机电工程公司 物理系 理论物理学 博士(硕博连读), 导师:赵鸿教授(也受到了同组的王矫教授和张勇副教授的悉心指导);
2011.02-2014.06 福州大学物理与信息工程公司 物理系 讲师;
2014.07-2018.07 福州大学物理与信息工程公司 物理系 副教授 [期间2016.11-2017.04 以色列巴伊兰(Bar-Ilan)大学 访问学者 指导教授:Eli Barkai];
2018.07-2021.03 福州大学物理与信息工程公司 物理系 教授(破格) [2018.10 增选为博士生导师];
2021.03- william威廉中文官网教授、闽江理论物理协作中心执行主任;
二、获得省、校级奖励
2016.05 入选福建省高校杰出青年科研人才培育计划;
2016.09-2019.09 受聘福州大学 旗山学者;
2017.04 获福建省自然科学杰出青年基金 资助;
2017.05 获第六届福州大学杰出青年教师励志奖;
2018.02 入选福建省第三批特支“双百计划”青年拔尖创新人才;
2018.08 获第三届福州大学“阳光奖教金”
三、主持科研项目
国家自然科学基金面上项目,12275116、一维晶格中长程相互作用的能量输运效应研究、2023/01-2026/12、55 万元、主持;
福建省自然科学基金重点项目,2021J02051、一维长程相互作用体系的新奇热输运特性及其背后的微观动力学机制,2021/08-2024/08、40 万元(科技厅资助 30 万元),主持;
福建省特支双百计划青年拔尖人才, 50万元 (下拨到福州大学25万元;william威廉中文官网25万元)、主持;
国家自然科学基金面上项目,11575046、低维系统中热输运的反常时空标度及其微观动力学机制、2016/01-2019/12、72.8 万元、主持;
福建省杰出青年基金项目,2017J06002、一维系统热输运的非普适分布函数、反常标度律及其微观动力学机制、2017/04-2020/04、25 万元、主持;
国家自然科学基金青年项目,11205032、一维非线性晶格模型中离散呼吸子对能量输运行为的影响、2013/01-2015/12、22 万元、主持;
国家自然科学基金理论物理专项,11147191、非对称Ising 类神经网络模型重构的理论研究、2012/01-2012/12、5 万元、主持;
福建省自然科学基金青基金青年创新项目,2013J05008、一维次近邻链下的热传导与能量扩散性质的研究、2013/01-2015/12、3 万元、主持;
福建省高校杰出青年科研人才培育计划, 2016/05-2018/05、6 万元、主持;
福州大学旗山学者奖励项目,GXRC-1686、一维系统反常热运输、2016/09-2019/09、25 万元、主持;
四、代表性工作
(8) Daxing Xiong* and Jianjin Wang*, Subdiffusive energy transport and antipersistent correlations due to the scattering of phonons and discrete Breathers, Phys. Rev. E. 106, L032201 (2022).

上:声子和移动呼吸子的散射动画;下:不同参数下的能流反关联特性
主要贡献:虽然很多物理过程呈现出亚扩散,同时一些非常富有启发的粒子随机行走模型已经建立起来了,但是哈密顿体系的能量亚扩散还没有被系统研究过。这是由于哈密顿体系有限的回归时间导致的。在我们这篇工作中,我们给出了非常可信服的证据显示,能量的亚扩散可以在一个一维程多体哈密顿晶格体系中涌现。这一哈密顿体系包含最近邻的线性相互作用和长程的非线性相互作用。我们更首次给出了这种新的能量亚扩散能够进一步呈现出热流自关联函数的反关联特性。这一奇特的能量亚扩散行为的微观动力学机制被更进一步从能量载流子—声子和非线性激发模式—离散呼吸子的各种不同的散射动力学来理解。从这些方面来看,研究结果对理解异常缓慢的能量输运行为提供了启发。
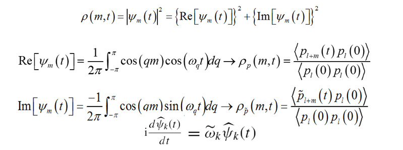
(7) Da Ke, Wei Zhong, Sergey V Dmitriev, and Daxing Xiong*, Unconventional relaxation of hydrodynamic modes in anharmonic chains under strong pressure fluctuations,
J. Phys. A: Math. Theor. 55, 055001 (2022).

流体力学模的交叉关联矩阵
主要贡献:该论文基于 Ernst–Hauge–van Leeuwen提出的涨落流体力学理论,数值发展了考虑强压力涨落的流体力学模关联函数及其交叉关联的计算方案。在强压力涨落下,给出了Herbert Spohn(玻尔兹曼奖得主)所提出的非线性涨落流体力学数值框架在强压力涨落下无法预测的流体力学模强耦合的反常驰豫特性。研究结果有利于人们进一步发 展涨落流体力学理论。
(6)Jianjin Wang, Sergey V. Dmitriev, and Daxing Xiong*, Thermal transport in long-range interacting Fermi-Pasta-Ulam chains, Phys. Rev. Research 2, 013179 (2020).

左:有限温度下移动呼吸子图像;中:热导率与尺寸的标度;右:热流的自关联衰减规律
主要贡献:这篇工作第一次明确给出了长程相互作用的FPU链的热传导新规律,并揭示了该规律背后隐含的可能的移动呼吸子微观动力学图像。发表在PR Research上的说明为:“This paper reveals an intrinsic feature of thermal transport underlying a long-range interacting Fermi-Pasta-Ulam chain, showing a high length-divergence of thermal conductivity. Its mechanism is related to a new heat diffusion process, responsible by the peculiar traveling discrete breathers’ dynamics and their weak interactions, resulted from system’s weaker chaotic property.”
(5) Daxing Xiong and Yong Zhang, One-dimensional superdiffusive heat propagation induced by optical phonon-phonon interactions, Phys. Rev. E 98, 012130 (2018).

声子谱、声速特性及关联的热和能的扩散性质
主要创新点:发现了一类没有声学声子的、动量不守恒的系统的异常超扩散热输运行为:即热输运的分布函数没有边锋(声模)但仍显示出superdiffusive的行为。进一步,我们揭示了该行为背后的光学声子—声子相互作用的微观物理:即不同于传统的长波声学声子(快声子)衰减缓慢,光学声子会表现出慢声子的慢衰减行为。这一工作引发了意大利研究热输运方面的知名学者Stefano Lepri和Roberto Livi等的兴趣,他们在最新的一篇工作[Chaos, Solitons and Fractals 117 (2018) 249-254]中引用了我们的结果。进一步,Livi教授在2020年出版的short review[J. Stat. Mech. (2020)034001]中有花大篇幅介绍本篇工作。
(4) Daxing Xiong, Observing golden-mean universality class in the scaling of thermal transport, Phys. Rev. E 97, 022116 (2018).

黄金分割的标度指数特性(数值发现)
主要创新点:在一类纯四次方非线性晶格(内压力为0)中以高精度的数值结果显示了黄金数标度指数的存在,并指明这一普适类与热模与声模的交叉关联的异常缓慢衰减密切相关。因此把由流体力学模间的相互作用而引起的交叉关联突显出来,也解释了热输运分布函数边缘峰存在的可能的机制。进一步,考虑内压力的作用后,揭示了流体力学模间负关联效应。这一负的关联会使交叉关联峰被扭曲,直至消失,期间还伴随着结构相变的发生。这一转变过程为新的标度指数产生的机制提供了可能的线索。在该工作的投稿阶段,曾收到了非线性涨落流体力学提出者H. Spohn(2019年玻尔兹曼奖得主)的来信讨论讨论,得益于与他的讨论,论文中增加了关于涨落流体力学理论在这一系统下数值验证的讨论。
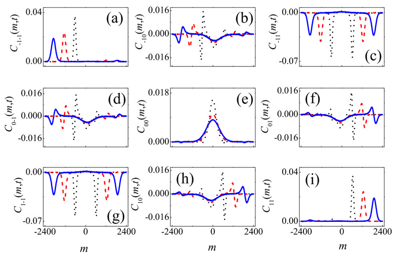
(3) Daxing Xiong, Felix Thiel, and Eli Barkai, Using Hilbert transform and classical chains to simulate quantum walks, Phys. Rev. E 96, 022114 (2017).

声子行走的类量子行走特性
主要创新点:在文章的预印版本[arXiv:1606.04602]中提出了“声子行走”的概念。运用此概念对各类可积多体哈密顿系统的弹道热输运分布函数给出了理论预测。进一步,在文章正式出版版本,证明了该类系统的热输运分布函数实际上可以用希尔伯特数学变换来构造,由此为实现用经典系统模拟量子行走提供了可靠的理论依据。这一结果同时还为理解可积线性系统的弹道热输运分布函数提供了一个独特的视角。
具体来说,在没有非线性扰动情形,我们严格证明准粒子—声子在动量空间中作类似于波的量子行走。特别是,我们找到了这样一种特殊的联系:系统守恒量动量和动量希尔伯特变换的关联函数可以对应这种类波准粒子的波函数的实部和虚部,而反过来,波函数的模方对应着系统能量/热模弛豫关联函数。这一波函数的傅里叶变换在数学上满足薛定谔方程:

(2) Daxing Xiong, Jiao Wang, Yong Zhang, and Hong Zhao, Nonuniversal heat conduction of one-dimensional lattices, Phys. Rev. E 85, 020102 (R) (2012).

热导率随尺寸的发散指数的非普适性特性
主要创新点:从具有高阶声子色散的次近邻晶格系统(内压力为0)出发,首次把在材料领域内采用的高效的“反扰动非平衡分子动力学法”运用到热传导问题的理论研究,发现了一维系统热传导的空间标度指数并不像领域内所认为的那样具有很强的普适性,而是非普适的!进一步,我们从带内呼吸子散射声子程度的异同的独特微观视角阐述了非普适性背后的机制。这一结果受到了西班牙P. I. Hurtado和 P. L. Garrido 两位研究者类似工作的支持[Sci Rep 6, 38823 (2016)],并被综述文章[S. Liu, X. F. Xu, R. G. Xie, G. Zhang, and B. W. Li, Anomalous heat conduction and anomalous diffusion in low dimensional nanoscale systems, Eur. Phys. J. B 85, 337 (2012)]重点引用,还被中文书籍:“从动力学到统计物理学,郑志刚,胡岗著 (北京大学出版社,2016 年10 月第1版)”和“纳米材料热传导,段文晖,张刚编著(科学出版社,2017 年1 月第1版)”所摘录。
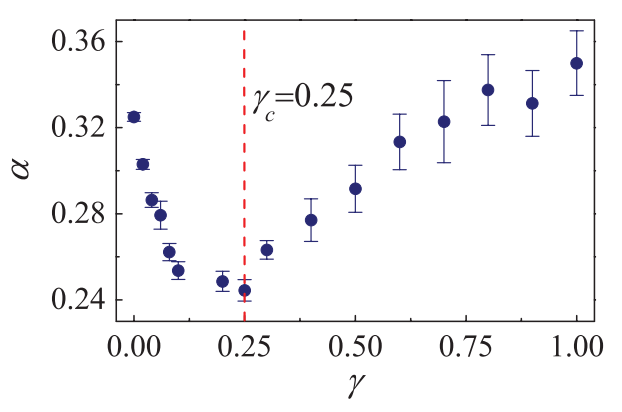
(1) Daxing Xiong, Jiao Wang, Yong Zhang, and Hong Zhao, Heat conduction in two-dimensional disk models, Phys. Rev. E 82, 030101(R) (2010).

二维圆盘模型的热传导特性
主要创新点:提出了类比于二维石墨烯材料热传导测量实验的研究二维热传导的圆盘理论模型,通过该模型发现了二维情形下热传导率κ随尺寸L“对数的幂律”的一般性的发散规律:κ~Lα (0<α<1)。该规律的两端一方面验证了模耦合[Phys. Rep. 377, 1 (2003)]、流体力学重整化群方法[PRL 89, 200601 (2002)]、带随机动力学的简谐势下的精确可解模型[PRL 96, 204303 (2006)]给出的在α=1情形下的理论预言;另一方面也证实了在非简谐势下的随机动力学模型[Comm. Math. Phys. 287, 67 (2009)]给出的可能的理论预言上限κ~(lnL)α (1<α<2)。此外,我们提出的模型被类似地运用到设计二维石墨烯圆盘来制作高效的功能材料[Sci. Rep. 5, 14878 (2015)]。
五、发表论文
(30) Ya-Shan Chen, Ying-Ting Lin, Ming-Jian Fu, Chi Xiong*, Daxing Xiong*, Active and dormant mechanisms of individual game relationships in evolutionary game theory, Physica A 627,129110 (2023).
(29) Wei Zhong*, Youjin Deng, and Daxing Xiong*, Burstiness and information spreading in active particle systems, Soft Matter, 19, 2962 (2023).
(28) Daxing Xiong* and Jianjin Wang*, Subdiffusive energy transport and antipersistent correlations due to the scattering of phonons and discrete Breathers, Phys. Rev. E. 106, L032201 (2022).
(27) Bin Xu, Jun Zhang*, Wei Zhong, Chi Xiong, and Daxing Xiong*, Unusual slow energy relaxation induced by mobile discrete breathers in one-dimensional lattices with next-nearest-neighbor coupling, Commun. Theor. Phys. 74, 065601 (2022).
(26) Da Ke, Wei Zhong, Sergey V Dmitriev, and Daxing Xiong*, Unconventional relaxation of hydrodynamic modes in anharmonic chains under strong pressure fluctuations, J. Phys. A: Math. Theor. 55, 055001 (2022).
(25) Vakhid A. Gani, Mohit Singh, Alina Y. Morkina, Elena A. Korznikova, Volodymyr I. Dubinko, Dmitry A. Terentiev, Daxing Xiong, Oleg B. Naimark, Sergey V. Dmitriev, Effect of Discrete Breathers on the Specific Heat of a Nonlinear Chain, J. Nonlin. Sci. 31, 12 (2021).
(24) Elena A. Korznikova,Vitaly A. Kuzkin, Anton M. Krivtsov, Daxing Xiong, Vakhid A. Gani, Aleksey A. Kudreyko, and Sergey V. Dmitriev, Equilibration of sinusoidal modulation of temperature in linear and nonlinear chains, Phys. Rev. E 102, 062148 (2020).
(23) Jianjin Wang, Yong Zhang, and Daxing Xiong*, Energy relaxation in disordered lattice φ4 system: The combined effects of disorder and nonlinearity, Chin. Phys. B 29, 120503 (2020).
(22) Jianjin Wang, Sergey V. Dmitriev, and Daxing Xiong*, Thermal transport in long-range interacting Fermi-Pasta-Ulam chains, Phys. Rev. Research 2, 013179 (2020).
(21) Shunjiang You, Daxing Xiong*, and Jiao Wang*, Thermal rectification in thermodynamic limit, Phys. Rev. E 101, 012125 (2020).
(20) Daxing Xiong* and Sergey V. Dmitriev*, chapter: Effects of Discrete Breathers on Thermal Transport in the φ4 Lattice in book: Kevrekidis P., Cuevas-Maraver J. (eds) A Dynamical Perspective on the φ4 Model. Nonlinear Systems and Complexity, vol 26. Springer, Cham (2019).
(19) Daxing Xiong and Yong Zhang*, One-dimensional superdiffusive heat propagation induced by optical phonon-phonon interactions, Phys. Rev. E 98, 012130 (2018).
(18) Iman Evazzade, Mahmood Rezaee Roknabadi, Mohammad Behdani, Fatemeh Moosavi, Daxing Xiong, Kun Zhou, Sergey V. Dmitriev, Interaction of longitudinal phonons with discrete breather in strained grapheme, The European Physical Journal B 91, 163 (2018).
(17) Daxing Xiong, Observing golden-mean universality class in the scaling of thermal transport, Phys. Rev. E 97, 022116 (2018).
(16) Danial Saadatmand, Daxing Xiong, Vitaly A. Kuzkin, Anton M. Krivtsov, Alexander V. Savin, and Sergey V. Dmitriev, Discrete breathers assist energy transfer to ac-driven nonlinear chains, Phys. Rev. E 97, 022217 (2018).
(15) Daxing Xiong*, Danial Saadatmand*, and Sergey V. Dmitriev*, Crossover from ballistic to normal heat transport in theφ4 lattice: If nonconservation of momentum is the reason, what is the mechanism? Phys. Rev. E 96, 042109 (2017).
(14) Daxing Xiong*, Felix Thiel*, and Eli Barkai*, Using Hilbert transform and classical chains to simulate quantum walks, Phys. Rev. E 96, 022114 (2017).
(13) Daxing Xiong, Heat perturbation spreading in the Fermi-Pasta-Ulam-β system with next-nearest-neighbor coupling: Competition between phonon dispersion and nonlinearity, Phys. Rev. E 95, 062140 (2017).
(12) Daxing Xiong, Anomalous temperature-dependent heat transport in one-dimensional momentum-conserving systems with soft-type interparticle interaction, Phys. Rev. E 95, 042127 (2017).
(11) Daxing Xiong, Underlying mechanisms for normal heat transport in one-dimensional anharmonic oscillator systems with a double-well interparticle interaction, JSTAT (2016) 043208.
(10) Daxing Xiong, Crossover between different universality classes: Scaling for thermal transport in one dimension, EPL 113, 14002 (2016).
(9) Daxing Xiong*, and Jun Zhang*, Discrete breathers: possible effects on heat transport, Letters on materials (俄罗斯 SCI) 6, 27 (2016).
(8) Daxing Xiong*, Yong Zhang*, and Hong Zhao, Temperature dependence of heat conduction in the Fermi-Pasta-Ulam-beta lattice with next-nearest-neighbor coupling, Phys. Rev. E 90, 022117 (2014).
(7) Daxing Xiong*, Yong Zhang*, and Hong Zhao, Heat transport enhanced by optical phonons in one-dimensional anharmonic lattices with alternating bonds, Phys. Rev. E 88, 052128 (2013).
(6) Daxing Xiong* and Hong Zhao*, A trade-off formula in designing asymmetric neural networks, J. Phys. A: Math. and Theor. 46, 435002 (2013).
(5) Jun Zhang, Daxing Xiong, Lingnan Chen, Qilong Kang, and Birong Zeng, Interaction of pyrrolizine derivatives with bovine serum albumin by fluorescence and UV-Vis spectroscopy, Spectrochimica Acta Part A-Molecular and Biomolecular Spectroscopy, 96, 132 (2012).
(4) Daxing Xiong, Jiao Wang, Yong Zhang*, and Hong Zhao, Nonuniversal heat conduction of one-dimensional lattices, Phys. Rev. E 82, 020102 (R) (2012).
(3) Daxing Xiong and Hong Zhao*, Estimates of storage capacity in the q-state Potts-glass neural network, J. Phys. A: Math. and Theor. 43, 445001 (2010);
(2) Daxing Xiong, Jiao Wang, Yong Zhang, and Hong Zhao*, Heat conduction in two-dimensional disk models, Phys. Rev. E 82, 030101(R) (2010).
(1) Daxing Xiong and Hong Zhao*, q-state Potts-glass neural network based on pseudoinverse rule, Phys. Rev. E 82, 026114 (2010).
