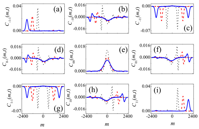
2019年玻尔兹曼奖获得者Herbert Spohn在2013-2014年提出了考虑二阶非线性的非线性涨落流体力学理论应用于预测一维非线性链中的流体力学模(热模和声模)的驰豫行为和标度特性(PRL 111,230601; J. Stat. Phys. 154 1191),同时建议了一种数值方法去验证该理论预测。然而Spohn的理论是基于给定输入压力下的恒压力系综得到的,并没有显式地包含/考虑强压力和强压力涨落的情形。此外,Spohn的理论先验地假设了热模-声模之间的退耦合特性。
近期,协作中心成员柯达博士、钟蔚博士和熊大兴教授联合俄罗斯呼吸子领域专家Sergey V. Dmitriev教授基于1976年Ernst–Hauge–van Leeuwen 提出的涨落流体力学理论, 数值发展了考虑强压力涨落的流体力学模关联函数及其交叉关联的计算方案。在强压力涨落下,给出了Spohn所提出的非线性涨落流体力学数值框架在强压力涨落下无法预测的流体力学模强耦合的反常驰豫特性。研究结果有利于人们进一步发展涨落流体力学理论。
该论文发表在国际数学物理杂志J. Phys. A: Math. Theor.上,william威廉中文官网闽江理论物理协作中心为第一单位和通讯单位,协作中心熊大兴教授为通讯作者。该研究工作得到了福建省自然科学基金重点、一般项目,国家自然科学基金和俄罗斯科学基金等项目的资助。
原文链接:https://iopscience.iop.org/article/10.1088/1751-8121/ac463d

热模与声模的交叉关联矩阵
